Temperature induced degradation of (InAlGa)N-based UV-B LEDs

FBH research: 20.05.2015

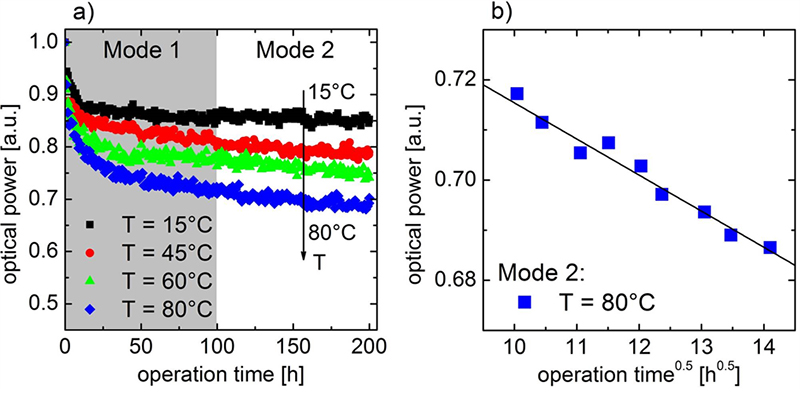
Fig. 1. Evolution of the relative optical power (normalized to t = 0 h) of different samples stressed at 100nbsp;mA and heat sink temperatures between 15°C to 80°C over 200nbsp;hours. b) Optical power as a function of the square-root of time during mode 2. The black line is a linear fit to the measurement data, where the slope is the degradation rate m2 of mode 2

Fig. 2. Arrhenius plot of a) the maximum power reduction (ΔPopt,1) during mode 1 and b) the degradation rate (m2) of mode 2.

InAlGa)N-based ultraviolet (UV) light-emitting diodes (LEDs) emitting in the UV-B spectral region (280 – 320 nm) are promising candidates for applications, such as UV curing, phototherapy, and plant-growth lighting. All these applications require UV sources which are long-term stable particularly with respect to the optical power and emission wavelength. However, the optical power of many state-of-the-art UV-B LEDs decreases rapidly over few hundred hours under constant current operation (see Fig. 1a)). To better understand this degradation behavior, FBH has started extended life-time tests by stressing UV-B LEDs at constant drive current and different temperatures. The devices have been developed in a joint effort between TU Berlin and the FBH and exhibit an emission wavelength around 308 nm.

Fig. 1a) shows the temporal evolution of the optical power of UV-B LEDs operated at different temperatures. Commonly, two different degradation modes were observed in all samples: Between 0 h and approximately 100 h of operation the optical power decreases rapidly and levels off, which is called mode 1. Moreover, mode 2 is represented by a slow degradation which dominates for operation times beyond 100 h. The optical power reduction during mode 2 was found to follow a square root time dependence, as can be seen in Fig. 1b). Such dependence is an indication that a diffusion process might be involved in the degradation mechanism. The reduction of the optical power during both degradation modes was accompanied by an increase of the reverse-bias leakage current. In literature, this effect is commonly ascribed to an increase of electrically active point defects in or close to the active region.

As can be seen in Fig. 1a) the temperature has a strong influence on the optical power reduction in both degradation modes. To evaluate this data, in Fig. 2a) and 2b) the logarithmic value of the maximum optical power drop during mode 1 (ΔPopt1) and the degradation rate of mode 2 (|m2|) are plotted as a function of the reciprocal temperature. Both parameters exhibit an exponential temperature dependence and by applying an Arrhenius fit activation energies of 0.13 eV and 0.21 eV for mode 1 and mode 2, respectively, were derived. We attribute mode 1 to an activation of electrically inactive point defects (at t = 0 h) during operation, hereafter acting as non-radiative recombination centers. For example, the activation energy for mode 1 fits to the activation of Mg acceptors from Mg-H complexes in as-grown (InAlGa)N:Mg layers. On the other hand the degradation process during mode 2 could be related to the diffusion of point defects towards or into the active region enhanced by the current flow and/or crystalline imperfections such as threading dislocations, which are present in high densities in all LEDs. Material analytical investigations are under way to clarify the microscopic processes for both degradation modes.

Publications:

J. Glaab, Ch. Ploch, R. Kelz, Ch. Stölmacker, M. Lapeyrade, N. Lobo Ploch, J. Rass, T. Kolbe, S. Einfeldt, F. Mehnke, Ch. Kuhn, T. Wernicke, M. Weyers, M. Kneissl, "Temperature induced degradation of InAlGaN multiple-quantum well UV-B LEDs", MRS Proceedings 1792, mrss15-2102646 (2015).

J. Glaab, Ch. Ploch, R. Kelz, Ch. Stölmacker, M. Lapeyrade, N. Lobo Ploch, J. Rass, T. Kolbe, S. Einfeldt, F. Mehnke, Ch. Kuhn, T. Wernicke, M. Weyers, M. Kneissl, "Degradation of (InAlGa)N-based UV-B LEDs stressed by current and temperature", to be published.