Temperatur induzierte Degradation von (InAlGa)N-basierten UV-B-LEDs

FBH-Forschung: 20.05.2015

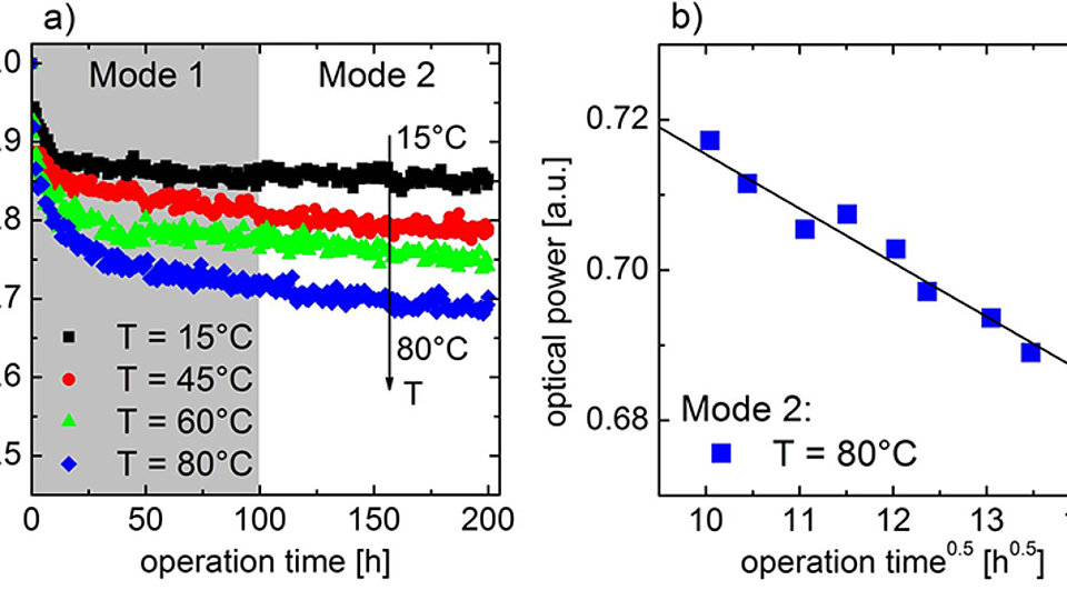
Abb. 1. a) Entwicklung der relativen optischen Leistung (normalisiert auf t = 0 Std.) von verschiedenen LED-Proben betrieben bei 100 mA und einer Wärmesenkentemperatur zwischen 15°C und 80°C über 200 Stunden. b) Optische Leistung als Funktion der Quadratwurzel der Zeit während Modus 2. Schwarze Linie: linearer Fit der Messdaten, Steigung der Geraden ist Degradationsrate m2 von Modus 2

Abb. 2. Arrhenius Plot a) der maximalen Reduktion der optischen Leistung (ΔPopt,1) während Modus 1 und b) Degradationsrate (m2) von Modus 2

(InAlGa)N-basierte Leuchtdioden (LEDs), die Strahlung im UV-B-Spektralbereich (280 – 320 nm) emittieren, sind eine vielversprechende Technologiebasis für Anwendungen in der UV-Härtung, der Phototherapie oder bei der Pflanzenzucht. Diese Anwendungen benötigen jedoch Strahlungsquellen mit hoher Langzeitstabilität, insbesondere im Hinblick auf die optische Leistung und das Emissionsspektrum. Die optische Leistung von "State-of-the-Art" UV-B-LEDs sinkt jedoch im Konstantstrombetrieb innerhalb von einigen hundert Stunden rapide ab (vergleiche Abb. 1a)). Um dieses Degradationsverhalten besser zu verstehen, wurden am FBH umfangreiche Lebensdaueruntersuchungen an UV-B-LEDs bei konstantem Betriebsstrom und unterschiedlichen Temperaturen durchgeführt. Die untersuchten Bauelemente wurden in einer Kooperation zwischen der TU Berlin und dem FBH entwickelt und haben eine Emissionswellenlänge von etwa 308 nm.

Abb. 1a) zeigt die zeitliche Entwicklung der optischen Leistung von UV-B-LEDs, welche bei verschiedenen Temperaturen betrieben wurden. Es können bei allen LEDs zwei unterschiedliche Degradationsmodi beobachtet werden: Zwischen 0 Stunden und ungefähr 100 Stunden nimmt die optische Leistung schnell ab und stabilisiert sich bei längerer Betriebsdauer, was mit Modus 1  bezeichnet wird. Modus 2 zeigt sich als langsame Degradation und dominiert für Betriebszeiten von länger als 100 Stunden. Abb. 1b) verdeutlicht zudem, dass die Abnahme der optischen Leistung während Modus 2 der Quadratwurzel der Zeit folgt. Eine solche zeitliche Abhängigkeit ist ein Hinweis darauf, dass bei der Degradation der optischen Leistung ein Diffusionsprozess involviert ist. Weiterhin wurde die Abnahme der optischen Leistung während beider Degradationsmodi von einer Zunahme des Stroms in Rückwärtsrichtung begleitet. In der Literatur wird dieser Effekt der Zunahme von elektrisch aktiven Punktdefekten in oder nahe der aktiven Zone zugeschrieben.

Wie aus Abb. 1a) ersichtlich hat die Temperatur einen starken Einfluss auf die Abnahme der optischen Leistung während beider Degradationsmodi. Um diese Beobachtung zu evaluieren, wurde in Abb. 2a) und 2b) der logarithmische Betrag der maximalen optischen Leistungsabnahme während Modus 1 (ΔPopt1) und der Degradationsrate von Modus 2 (|m2|)  als Funktion der reziproken Temperatur aufgetragen. Beide Parameter zeigen eine exponentielle Temperaturabhängigkeit, und durch Anwendung eines Arrhenius-Fits konnten Aktivierungsenergien von 0.13 eV für Modus 1 und 0.21 eV für Modus 2 abgeleitet werden. Wir schreiben Modus 1 einer Aktivierung von elektrisch inaktiven Punktdefekten (bei t = 0 Std.) während des Betriebs zu, welche nach der Aktivierung als nicht-strahlende Rekombinationszentren wirken. Zum Beispiel passt die Aktivierungsenergie von Modus 1 zur Aktivierung von Mg-Akzeptoren in as-grown (InAlGa)N:Mg-Schichten. Der Degradationsmechanismus während Modus 2 könnte wiederum der Diffusion von Punktdefekten in Richtung oder in die aktive Zone zugeschrieben werden. Unterstützt wird der Diffusionsprozess dabei evtl. durch den Stromfluss und/oder Kristallfehler, wie bspw. Versetzungen, welche in hoher Dichte in den untersuchten LEDs vorhanden sind. Aktuell laufende materialanalytische Untersuchungen sollen die zugrundeliegenden mikroskopischen Prozesse für beide Degradationsmodi klären.

Publikationen:

J. Glaab, Ch. Ploch, R. Kelz, Ch. Stölmacker, M. Lapeyrade, N. Lobo Ploch, J. Rass, T. Kolbe, S. Einfeldt, F. Mehnke, Ch. Kuhn, T. Wernicke, M. Weyers, M. Kneissl, "Temperature induced degradation of InAlGaN multiple-quantum well UV-B LEDs", MRS Proceedings 1792, mrss15-2102646 (2015).

J. Glaab, Ch. Ploch, R. Kelz, Ch. Stölmacker, M. Lapeyrade, N. Lobo Ploch, J. Rass, T. Kolbe, S. Einfeldt, F. Mehnke, Ch. Kuhn, T. Wernicke, M. Weyers, M. Kneissl, "Degradation of (InAlGa)N-based UV-B LEDs stressed by current and temperature", to be published.