Red lasers with a mean time to failure of 10 years

FBH research: 07.12.2011

Fig. 1: PUI characteristics prior to the reliability test

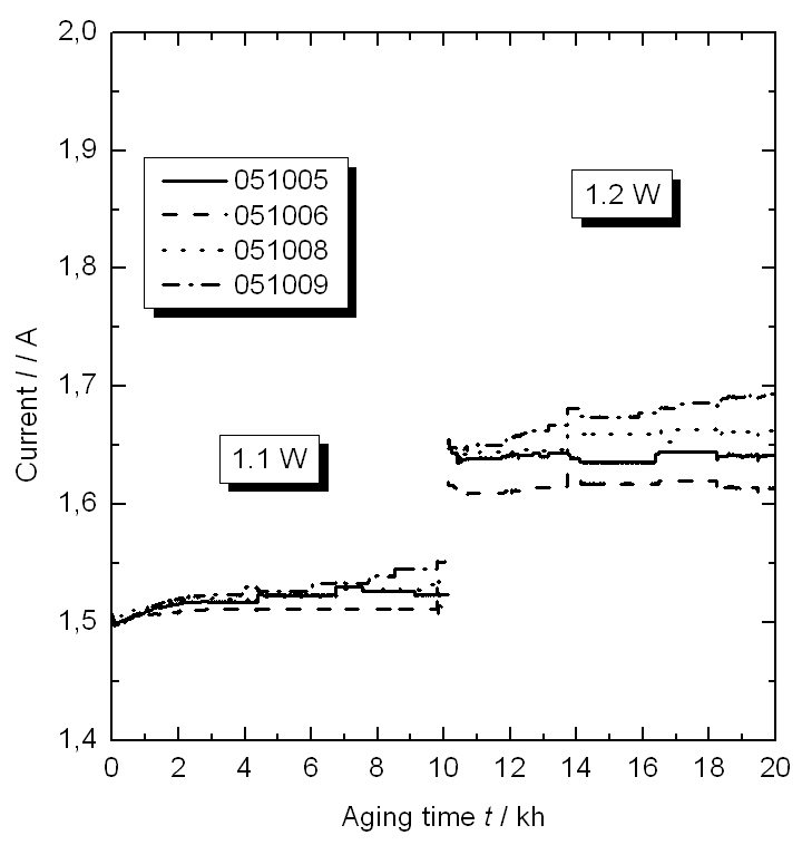
Fig. 2: Current-time characteristic. Current was varied for a constant output power of 1.1 W or 1.2 W, respectively

Diode lasers emitting at 650 nm have various applications including photodynamic cancer therapy and ophthalmology in medicine , pumping of femtosecond solid-state lasers and display technology.

Compared to diode lasers emitting in the NIR wavelength range between 730 nm and 1100 nm, red diode lasers are more challenging. Due to constraints of the semiconductor material (Al)GaInP, the barrier heights for electrons and holes are small. This leads to a low efficiency and a high temperature sensitivity of threshold current and slope efficiency. Therefore, layer design and device processing including a low thermal resistance of the mounted device are crucial.

FBH develops red broad area laser diodes (100 µm x 1,5 mm) with a GaInP quantum well, an AlInP n-cladding and an Al0.85Ga0.15As p-cladding layer. These devices show an output power of 2.5 W  and a conversion efficiency of 35% at 15°C. AlGaAs can be doped with carbon to a very high level. While the doping of AlGaInP with zinc, limits the doping level to 5 x 1017 cm-3, the doping with magnesium leads to memory effects. Additionally, Al0.85Ga0.15As has not only a lower electrical resistance but also a lower thermal resistance. By mounting the device p-side down on CVD-diamond with AuSn solder, a thermal resistance of only 5 K/W is obtained.

Reliability tests were carried out at an output power of up to 1.2 W for in total 20 000 h revealing a degradation rate of at most 3x10-6 h-1. Based on this measurements, a lower limit of the mean time to failure of 87.000 h at 1.2 W can be extrapolated. This exceeds all previously published values.

Publications:

B. Sumpf, J. Fricke, P. Ressel, M. Zorn, G. Erbert and G. Tränkle "20 000 h reliable operation of 100 µm stripe width 650 nm broad area lasers at more than 1.1 W output power" Semicond. Sci. Technol., vol. 26, no. 105011 (2011).

B. Sumpf, M. Zorn, R. Staske, J. Fricke, P. Ressel, A. Ginolas, K. Paschke, G. Erbert, M. Weyers, G. Tränkle "3-W Broad Area Lasers and 12-W Bars With Conversion Efficiencies up to 40% at 650 nm" IEEE J. Sel. Top. Quantum Electron., vol. 13, no. 5, pp. 1188-1193 (2007).

FBH research: 07.12.2011