Semiconductor Disk Lasers: a scalable short wavelength laser

FBH research: 28.02.2011

Fig. 1: Setup for optical pumping of a thin disk laser through the substrate backside.

Fig. 2: Emission spectra of disk laser near aser threshold. Inset: far-field intensity distribution. The beam divergence is approximately 20 mrad.

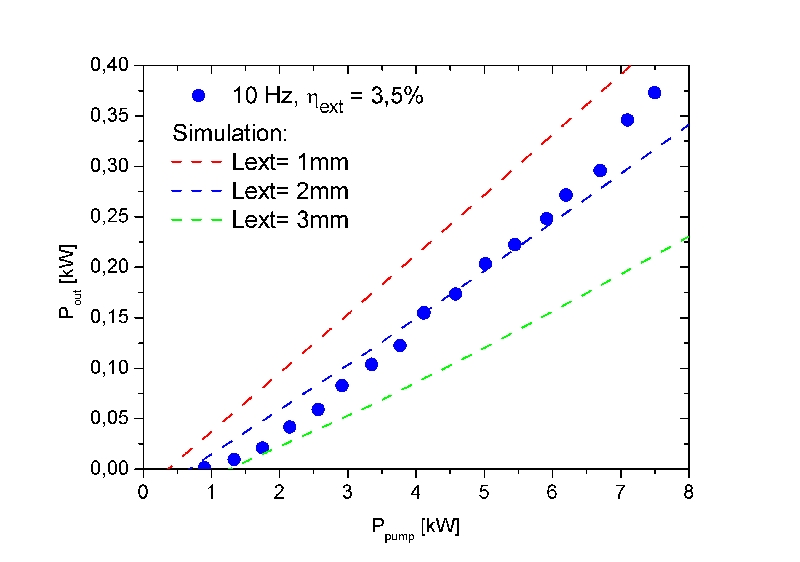
Fig. 3: Measured laser peak pulse output power (blue solid dots) vs. pump power (N2-Laser; 337 nm) with simulated curves (dashed lines) for different resonator lengths.

Disk lasers are marked by their superior scalability and the opportunity to easily integrate nonlinear optical elements inside the laser cavity. These optically pumped surface emitters combine the high beam quality of a vertically emitting laser with a high output power. The realization of the disk laser concept with the InGaN material system seems promising to overcome the current limitations concerning output power and beam quality of edge emitting InGaN laser diodes. Furthermore, because nonlinear optical elements can be placed within the laser resonator, disk lasers allow to access the short wavelength UV region by frequency doubling or to generate ultra short pulses by mode locking.

In collaboration with TU Berlin and Institut für Strahlwerkzeuge at Universität Stuttgart FBH has succeeded in fabricating InGaN disk lasers. The setup is shown in Fig. 1. Because of the small resonator length of approx. 3 mm the disk laser is pumped through the dielectric mirror (DBR) which enhances the absorption efficiency of the N2 pump laser and simplifies the setup. As shown in Figs. 2 and 3 semiconductor disk lasers with a peak pulse output power of more than 300 W and an emission wavelength of 393 nm could be demonstrated. Meanwhile first semiconductor disk lasers with an emission wavelength of 420 nm have been realized.

In order to further increase the output power of the semiconductor disk lasers the resonant periodic gain (RPG) structure as well as the epitaxial growth will be optimized. Moreover, the thermal management should be improved by a more efficient cooling of the wafer back side, and advanced setups for pumping the disk laser will be investigated.

Publication:

R. Debusmann, N. Dhidah, V. Hoffmann, L. Weixelbaum, U. Brauch, T. Graf, M. Weyers, and M. Kneissl, "InGaN-GaN Disk Laser for Blue-Violet Emission Wavelengths", IEEE Photonics Technol. Lett., vol. 22, no. 9, pp. 652-654 (2010).

FBH research: 28.02.2011