High-power surface-grating stabilized narrow-stripe BA lasers with beam parameter product < 2 mm×mrad

FBH research: 13.06.2015

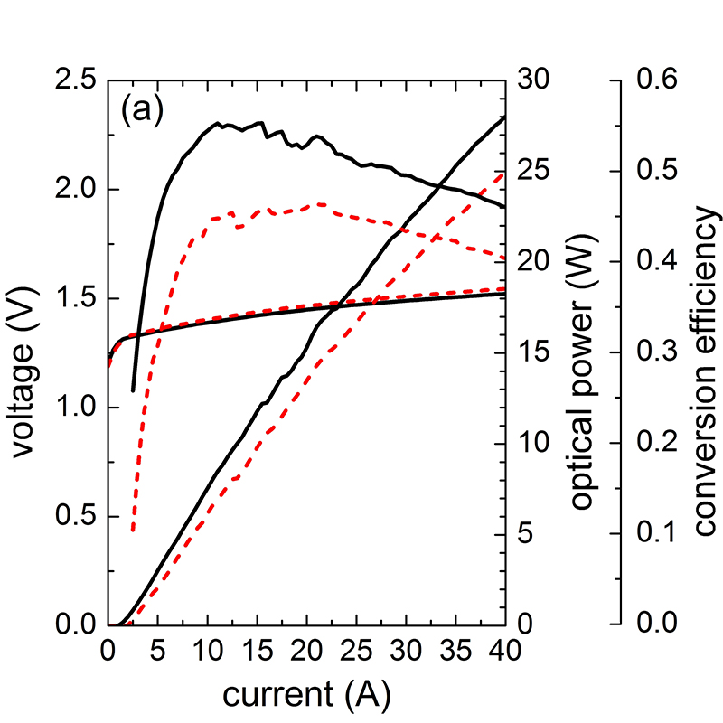
Fig. 1: Performance of 5-emitter T-bar at 20°C under cw operation - voltage, power and power conversion efficiency for T-bar with improved epitaxial layer design (solid) and reference T-bar

Fig. 2: Normalized spectrum of three single emitters from the 5-emitter T-bars at 5 W output power

Fig. 3: Normalized near and far field of a single emitter of 5-emitter T-bar at 5 W output power.

State-of-the-art GaAs-based broad-area (BA) diode lasers deliver high optical output powers = 10 W with power conversion efficiency ~ 60% and a lateral beam parameter product of BPP = 3-4 mm×mrad. They are therefore ideally suited for use in material processing applications either as pump sources for fiber or solid-state lasers or for direct use. The high BPP values leads to diode lasers being unsuitable for higher brightness applications, which require BPP < 2 mm×mrad. BPP is reduced in narrow-stripe broad area lasers (NBA lasers) which use narrow contact stripes to cut off higher order lateral modes, whilst maintaining Pout > 5 W. Power can then be scaled without increasing BPP, for example, via dense spectral beam combining (DSBC) that uses spectrally selective elements such as gratings or filters to combine the emission of multiple emitters into a single beam.

At FBH, previous publication studies in 2015, low fill-factor arrays (T-bars) of five NBA lasers were fabricated with monolithically integrated gratings for spectral width < 1 nm (95% power content), and these were successfully combined via DSBC using ultra-steep dielectric filters. However, the conversion efficiency was limited to ~ 40% at an optical output of 5 W per emitter by the vertical layer structure and scattering losses from the surface gratings.

The FBH research team shows in a new publication, selected for oral presentation at CLEO USA [1] that the conversion efficiency at the operating point can be increased from 40% to 50% by using an optimized vertical structure (with carefully tailored, narrower, vertical waveguide) and by developing improved reactive ion etching (RIE) of the surface gratings.

The devices were integrated into a T-bar, composed of five DFB-NBA lasers (W = 30 µm, L = 6000 µm) with a pitch of 1000 µm. The spectral channel spacing between the emitters is 2.5 nm in a range from 970 nm to 980 nm. The epitaxial layer structure is grown by MOVPE.

Single emitter device testing was performed under continuous wave (cw) operation at T = 20°C, mounted on CuW carriers, and the performance of a whole 5-emitter T-bar is extrapolated from the light-current-characteristics of 3x single emitters, as summarized in Figs. 1-3. The diode lasers operate with significantly increased slope efficiency from S = 0.76 W/A (2015 results, [2]) to S = 0.87 W/A (Fig. 1), with lower threshold current and series resistance also observed. This increases conversion efficiency to ~ 50% at 5 W per single emitter (25 W per T-bar). At the point of operation, clean spectral stabilization was observed (Fig. 2). The lateral near and far field width of the single emitters corresponds to a BPP < 2 mm×mrad, which is maintained over the whole current range tested (Fig. 3). These T-bars are an attractive source for dense spectral beam combining in high brilliance laser systems, without the need for external frequency stabilization.

Publications:

[1] J. Decker, J. Fricke, A. Maaßdorf, G. Erbert, P. Crump , "High power surface-grating stabilized narrow-stripe broad area lasers with beam parameter product < 2 mm×mrad", Proc CLEO/QELS, San Jose CA USA (2016).

[2] J. Decker, P. Crump, J. Fricke, A. Maaßdorf, G. Erbert, and G. Tränkle, "Narrow Stripe Broad Area Lasers With High Order Distributed Feedback Surface Gratings", IEEE Photonics Technol. Lett., vol. 26, no. 8, pp. 829-832 (2014).