First ridge waveguide lasers with sufficient efficiency for high-power spectral beam combining systems

FBH research: 10.12.2018

Fig. 1: Spectra of an externally stabilized single emitter at different wavelengths

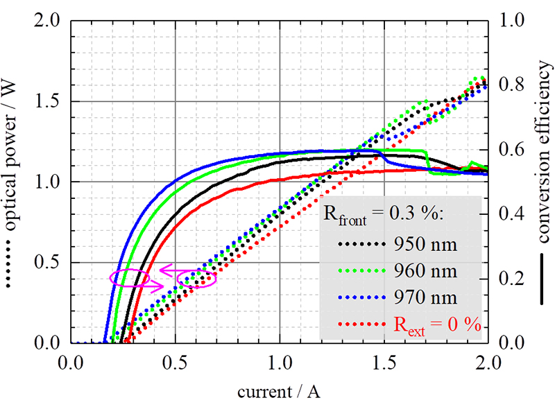
Fig. 2: Optical power and efficiency vs. current for single emitter stabilized at different wavelengths with 2.5% external feedback

Fig. 3: Lateral farfields at 1 W optical power for different externally-stabilized wavelengths

Fig. 4: Electron microscope image of a front facet section from a 200-emitter RW laser bar

Diode laser bars in the near-infrared wavelength range are common light sources for material processing applications. Due to strong competitive pressures between different companies and different systems, high power, efficiency and reliability are essential for these laser bars. Therefore, only bars of broad area lasers are used so far, either indirectly as pump sources in solid-state laser systems (e.g. for metal cutting) or increasingly directly in spectral beam combining (SBC) systems (e.g. for metal welding). FBH recently developed highly efficient ridge waveguide (RW) lasers suitable for SBC systems [1]. Because of the high beam quality of the individual emitters, SBC systems of these bars can potentially exceed the brilliance of solid-state laser systems with high efficiencies of direct diode laser systems.

At FBH, highly efficient extreme asymmetric vertical structures with large optical cavities [2] are often used and adjusted to different laser specifications. For RW lasers these asymmetric structures have the additional benefit of reduced current spreading, lateral spatial hole burning and thermal lensing. Thereby, nearly single spatial mode emission can be achieved with relatively broad RWs ( 10 µm) [3], which enable low lateral divergences and high optical output powers with excellent efficiency and reliability.

In a project funded by an industrial partner, different vertical and lateral structures for RW laser bars have been simulated, processed, coated, mounted and tested at FBH. Results of single emitters including wavelength tunability were presented in [1]. Coated bars, consisting of hundreds of single emitters, were delivered to our partner, where they were mounted and tested [4].

For single emitters, a locking range of 30 nm at a feedback ratio of 2.5% could be demonstrated (Fig. 1). Also, small arrays with five emitters and a pitch equivalent to full bars were externally stabilized, without showing any crosstalk between emitters. Between 950 nm and 970 nm, more than 1 W optical power with 57% to 60% conversion efficiency was reached for single emitters (Fig. 2). The corresponding lateral divergences at 1 W were below 8° (95% power content) with a diffraction-limited beam quality (Fig. 3). Even if other publications have demonstrated similar performances for single mode lasers, the efficiency was drastically decreased for bars. With our RW lasers, full bars with 200 emitters in free-running operation have delivered more than 350 W peak power and more than 55% peak efficiency [4]. A section of such a bar is shown in Fig. 4.

References:

[1] M. Wilkens, G. Erbert, H. Wenzel, A. Knigge, P. Crump, A. Maaßdorf, J. Fricke, P. Ressel, S. Strohmaier, B. Schmidt, G. Tränkle, "970-nm ridge waveguide diode laser bars for high power DWBC systems", Proc. SPIE 10514, Photonics West, San Francisco, USA, 105140E (2018).

[2] T. Kaul, G. Erbert, A. Maaßdorf, D. Martin, P. Crump, "Extreme triple asymmetric (ETAS) epitaxial designs for increased efficiency at high powers in 9xx-nm diode lasers", Proc. SPIE 10514, Photonics West, San Francisco, USA, 105140A (2018).

[3] M. Wilkens, H. Wenzel, J. Fricke, A. Maaßdorf, P. Ressel, S. Strohmaier, A. Knigge, G. Erbert, G. Tränkle, "High-Efficiency Broad-Ridge Waveguide Lasers", IEEE Photonics Technology Letters, Vol. 30, No. 6, March 15 (2018).

[4] S. G. Strohmaier, G. Erbert, T. Rataj, A. H. Meissner-Schenk, V. Loyo-Maldonado, C. Carstens, H. Zimer, B. Schmidt, T. Kaul, M. M. Karow, M. Wilkens, P. Crump, "Forward development of kW-class power diode laser bars", Proc. SPIE 10514, Photonics West, San Francisco, USA, 1051409 (2018).