Bidirectional GaN HFETs for T-type converter power conversion

FBH research: 02.10.2018

Fig. 1: Schematic of a T-type converter for power conversion from DC to AC

Fig. 2: Schematic cross-section of an unidirectional (l.) and a bidirectional GaN HFET (r.). The bidirectional HFET can be operated from left to right with S1, G1 and D1 as source, gate and drain or from right to left (S2, G2, D2).

Fig. 3: Ribbon-bonded chip with two bidirectional 600 V/200 mOhm GaN HFETs

Fig. 4: Wafer distribution of the specific on-state resistance of bidirectional (l. + m., 97 mm gate width) and unidirectional (r., 92 mm gate width) GaN HFETs

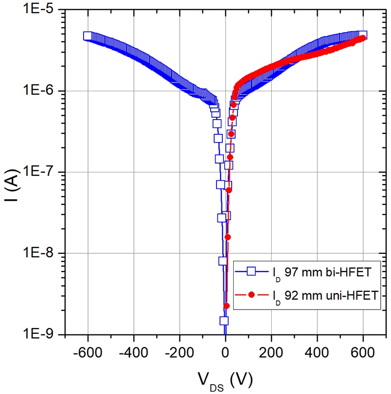
Fig. 5. Off-state drain leakage current for a bidirectional GaN HFET (blue, both directions of operation) and a unidirectional GaN HFET (red) of the same wafer

Fig. 6:Drain voltage transients during 10 A/400 V turn-off switching of two bidirectional GaN HFETs in both directions of operation and a unidirectional GaN HFET. Gate widths according to Fig. 4

Power switching transistors are used in switch mode power supplies for power conversion. While most of these switches carry current and have to block voltage in only one direction, there are also switches that have to operate in both directions. The T-type inverter, for example, provides next to the positive and negative output voltage an additional zero level to the attached load (Fig. 1). The power stage basically consists of two interlinked buck converter cells (top cell and bottom cell in Fig. 1) and requires three active switches, T1-T3. Both cells are alternately operated in the targeted grid-connected AC operation according to the mains frequency (50 Hz). Due to alternating polarity of the output voltage VM during the intended grid-connected operation, the switching transistor T2 must feature a bidirectional blocking capability, while unidirectional power semiconductors are sufficient for T1 and T3. A matrix converter is a topology to directly convert a 3-phase AC signal into another 3-phase AC signal of a different frequency, as it is preferred for efficient 3-phase motor control. Nine bidirectional switches are needed for such a matrix converter, but the intermediate DC link, as required for other converter topologies, can be omitted.

The bidirectional functionality of T2 is implemented in Si-based device technology by an anti-serial interconnection of two separate unidirectional transistors, T2a and T2b, usually Si-IGBTs or Si-MOSFETs with either common drain-drain, common collector-collector, or common source-source node.

The series connection of two unidirectional power semiconductors for T2a and T2b increases the conduction losses during zero level, since the overall on-state resistance of T2 is doubled as compared to a single unidirectional device. Using a monolithical bidirectional GaN HFET may overcome this limitation of conventional bidirectional switching implementations.

FBH uses a standardized processing scheme to manufacture unidirectional GaN-based 600 V switching transistors for power-electronic applications with on-state resistances down to 70 mΩ. A p-GaN gate module is used to obtain normally-off properties. Due to the lateral nature of the GaN HFETs the design of a 600 V bidirectional transistor is straight forward on this technology platform (Fig. 2). A second gate (G2) is introduced to the drift zone close to the drain (D1), and is used as controlling gate for reverse operation when the former drain D1 is utilized as source (S2) and the former source S1 is used as drain (D2). In fact, the bidirectional device is designed symmetrically and the same current path between the two ohmic contacts of source and drain can be operated in both directions.

Bidirectional GaN transistors with 97 mm gate width (Fig. 3) to be applied in kW T-type converters are compared to unidirectional HFETs from the same wafer. The specific on-state resistance of the bidirectional transistor is identical for both directions of operation and only 3 % higher than for the unidirectional version (Fig. 4). In off-state, the drain leakage current up to 600 V stays below 5 µA for both, the bidirectional and the unidirectional GaN transistor (Fig. 5). In 10 A / 400 V clamped inductive switching, both types show similar slew rates of 60 V/ns during turn-off (Fig. 6). The bidirectional devices give larger voltage overshoots, since the gate driving current loops are larger as they need two separate discrete gate drivers for the bidirectional switch.

In conclusion, bidirectional switching transistors for power applications can be easily realized using GaN HFET technology. The lateral nature of GaN devices allows simple integration of both directions of operation with using one drift zone only. This is a clear benefit over Si-based devices with 600 V voltage rating. There, integration is not possible due to their vertical device concept and two semiconductor devices intead of one have to be used. The bidirectional GaN HFETs show comparable characteristics to their unidirectional counterparts in DC and in switching operation and thus allow easy implementation.

Publications

C. Kuring, O. Hilt, J. Böcker, M. Wolf, S. Dieckerhoff und J. Würfl, "Novel monolithically integrated bidirectional GaN HEMT", IEEE Energy Conversion Congress & Expo 2018 (ECCE 2018), Sept. 23-27 2018, Portland, USA.

M. Wolf, O. Hilt and J. Würfl, "Gate control-scheme of monolithically integrated normally-off bidirectional 600 V GaN HFETs", IEEE Trans. Electron Devices, vol. 65, no. 9, pp. 3878-3883 (2018).