Advances in epitaxial chip design for increased efficiency at high optical powers in GaAs-based broad area lasers

FBH research: 27.11.2018

Fig. 1: High-power diode laser from the FBH

Fig. 2: Continuous design evolution, from an ASLOC (a), over an EDAS (b) towards an ETAS (c) design

Fig. 3: CW light-voltage-current characteristics of devices with a 100 µm x 4 mm cavity. Comparison of three epitaxial designs: ASLOC, EDAS and ETAS

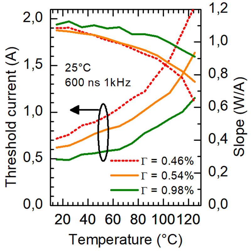
Fig. 4: Short pulse measurements (600 ns, 1 kHz) of three devices using ETAS design with continuously increased optical confinement

GaAs-based high-power broad area diode lasers (Fig. 1) are well established components in industrial material processing laser machine tools, where they are used as optical pumps or in direct-diode application. Continuous improvement in power and efficiency has been demonstrated, driven by steadily growing commercial demand. Optical power in diode lasers in continuous wave (CW) operation is in large parts limited by thermal power saturation. This is itself regulated by fundamental mechanisms within the semiconductor and significant improvements can be obtained by using advanced vertical epitaxial chip design, provided device growth and processing is performed to a high standard. Mitigating thermal power saturation in diode lasers therefore directly translates into higher efficiency at higher powers, leading to reduced power consumption and lower operating costs (€/W) of laser machine tools.

Previous epitaxial designs follow a weakly asymmetric waveguide approach, known as asymmetric large optical cavity (ASLOC) design, are shown in Fig. 2a. The overlap of the fundamental optical mode with the active region (here a single quantum well, a sharp peak in refractive index in Fig. 2) is quantified by the optical confinement factor, Γ. The greater the overlap, the higher the modal gain, Γg0, and FBH scientist recently showed (see publications below) that Γg0 is required to be as high as possible to reduce thermal power saturation. ASLOC designs therefore feature a high modal gain, but on the downside the thick p-waveguide is leading to excessive optical loss and series resistance and carrier leakage into the p-waveguide, which themselves can strongly limit power and efficiency.

The high loss, resistance and leakage were addressed by the dearlier development of the extreme double asymmetric (EDAS) design approach, as studied extensively at the FBH, and  shown in Fig. 2b. In this case, an extremely thin p-waveguide of ~150 nm is implemented, instead of ~1 µm in a typical ASLOC design. (The second, double, asymmetry in this design approach is to be found in the cladding compositions. The p-cladding typically contains a high aluminum level to prevent light penetration.) The thin p-waveguide works to effectively suppress carrier leakage, and to reduce optical loss and series resistance. Fig. 3 illustrates measured light-voltage-current characteristics of the ASLOC and the EDAS design. The excessive series resistance of the ASLOC is successfully reduced by the EDAS design, but stronger thermal rollover is also observed. As seen in Fig. 2b, the optical confinement of EDAS designs is typically low,leading to low Γg0 hence strong power saturation.

The ideal vertical epitaxial design would therefore feature both an extremely thin p-waveguide and a high modal gain. The thin p-waveguide ensures low optical loss, low series resistance and low carrier leakage, whereas the high modal gain reduces laser threshold and thermal power saturation, leading to higher optical peak powers and higher power conversion efficiencies at these advanced optical power levels. FBH scientists therefore recently developed the extreme-triple asymmetric (ETAS) design. Introducing a third asymmetry in the vicinity of the quantum well (Fig. 2c) allows the optical mode to be shaped flexibly with minimal changes elsewhere. Carefully tailored n-waveguide thickness and profile can significantly increase optical confinement, without changing the p-side at all. In this way, for the first time, all the benefits of the EDAS design were maintained, combined with a high modal gain leading to clearly lower power saturation, as shown in Fig. 3. The diode laser using the ETAS design shows similar light-current characteristics as the ASLOC device and similar voltage-current characteristics as the EDAS design, resulting in significant improvement in power conversion efficiency, especially at high powers. The peak power conversion efficiency of the ETAS device is measured to be 69% and is still >65% at currents >11 A.

In addition, pulsed-current test results (Fig. 4) for devices using ETAS designs with varied optical confinement factors confirm that high-Γ ETAS designs operate with much improved temperature sensitivity of threshold and slope efficiency, which makes this new generation of diode laser designs highly suitable for industrial high power applications.

Publications

T. Kaul, G. Erbert, A. Maaßdorf, D. Martin, and P. Crump, "Extreme triple asymmetric (ETAS) epitaxial designs for increased efficiency at high powers in 9xx-nm diode lasers", in High-Power Diode Laser Technology XVI, 10514, (2018)

T. Kaul, G. Erbert, A. Maaßdorf, S. Knigge, and P. Crump, "Suppressed power saturation due to optimized optical confinement in 9xx nm high-power diode lasers that use extreme double asymmetric vertical designs", Semicond. Sci. Technol., 33, Nr. 3,p. 035005, (2018)

P. Crump, "Lasers: Excelling with extreme asymmetry", Compound Semiconductor, vol. 24, 06.09.2018

Patents

  • ETAS: T. Kaul et al. DE 102017101422.5 (2017), PCT/EP 2018/051856 (2018)
  • EDAS: G. Erbert et al. US 8,798,109 B2 (2014), EP 2 666 213 B1 (2011)