1 cm broad laser bars emit peak powers of 1.7 kW at 220 K

FBH research: 06.08.2013

Fig. 1: 1 cm bars on CCP-mounts with a copper foil as the n-side contact

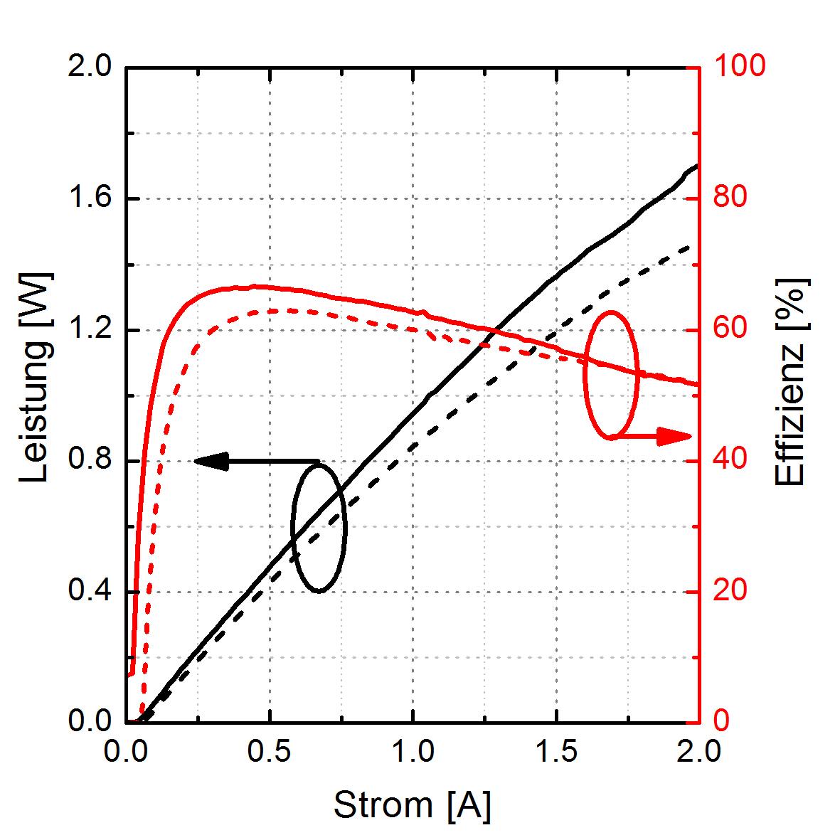
Fig. 2: Light current (black) and efficiency characteristics (red) for T = 300 K (dashed) and T = 220 K (solid)

Currently, ultra-high energy laser facilities for laser-induced fusion and fundamental research (e.g. X-ray spectroscopy) are being planned and constructed worldwide. In Europe for example, the Yb:YAG solid state lasers for ELI and HILASE will be pumped by diode lasers and need ultra-high pump powers at 940 nm. To reduce the costs for this great number of diodes (which arises mainly from the volume of semiconductor material used), high power densities (power per device) are needed. At the same time a great deal of excess heat is generated at these high power densities, which reduces the optical output power. By increasing the electro-optical conversion efficiency ƞE the heat generation can be reduced. So far the best published results for laser bars, e.g. devices with a high power density, are powers of 1 kW at ƞE < 60%. Within the Cryolaser project, the FBH takes advantage of the improvement to semiconductor properties at low temperatures to develop diode lasers with highest powers and efficiencies. The goal is to obtain 1 cm bars emitting 1.6 kW with ƞ> 80%.

At temperatures around 220 K the power characteristic of the lasers improve: the threshold current is reduced, the slope efficiency increases and thermal rollover is suppressed. However, a higher series resistance limits the efficiency. In a first iteration, an existing FBH vertical structure at 975 nm (which had been optimized for room temperature operation) was processed into 1 cm bars with a high fill factor of 72%. Diodes with 6 mm cavity length were soldered p-down onto a CCP-mount and the n-side contact was established by a copper foil. The high fill factor as well as the long cavity reduced the series resistance. The fully assembled laser bars reached a QCW (1.2 ms, 10 Hz) peak power of 1.5 kW at 300 K. By comparing the bar performance to single emitters the excess package resistance could be determined. When this is subtracted, the efficiency of the bar is calculated to ƞE (1.5 kW) = 50%. At 220 K the laser emitted a peak power of 1.7 kW with ƞE (1.5 kW) = 54% (with package resistance subtracted). This is the highest power ever achieved from a 1 cm bar. In order to reach the targeted high efficiencies and powers, current research aims to further reduce the series resistance, while maintaining these excellent power characteristics.

Publications:

H. Li, F. Reinhardt, I. Chyr, X. Jin, K. Kuppuswamy, T. Towe, D. Brown, O. Romero, D. Liu, R. Miller, T. Nguyen, T. Crum, T. Truchan, E. Wolak, J. Mott, J. Harrison: “High-Efficiency, High-Power Diode Laser Chips, Bars, and Stacks”, Proc. of SPIE Vol. 6876, 68760G, (2008)

C. Frevert , P. Crump, H. Wenzel, S. Knigge, F. Bugge, G. Erbert: "Efficiency optimization of high power diode lasers at low temperatures", CLEO®/Europe-IQEC), Munich, Germany, poster CB-P.28-MON (2013).

P. Crump , C. Frevert, H. Wenzel, F. Bugge, S. Knigge, G. Erbert, G. Tränkle: "Cryolaser: innovative cryogenic diode laser bars optimized for emerging ultra-high power laser applications", CLEO, San Jose, USA, p. JW1J.2 (2013).

FBH research: 06.08.2013