Analytical description of UV-LED degradation allows to predict device lifetime

FBH research: 29.08.2019

Fig. 1: Measurement setup which enables automated operation and characterization of UV LEDs at different conditions.

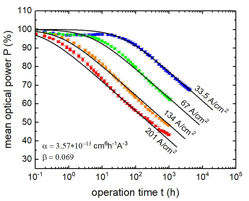
Fig. 2: Optical power over time of 310 nm LEDs run at different current densities. The solid lines correspond to the derived mathematical model.

Fig. 3: Optical power of 310 nm LEDs run at different current densities versus the product of operation time and cube of current density.

AlGaN-based ultraviolet light-emitting diodes (UV LEDs) with emission wavelengths below 320 nm are promising candidates for a variety of applications such as plant growth lighting, phototherapy, sensing, or sterilization. Currently, the lifetime of those deep-UV devices is still far shorter than that of LEDs emitting in the UVA and blue spectral regions – their optical power typically decreases faster over operation time. As a result, the applicability is limited. Understanding the various degradation processes taking place in the LED during operation is therefore essential to overcome this lifetime issue. These processes may be affected differently by stress parameters such as temperature and current. These parameters must therefore be examined independently to distinguish their effects.

To draw conclusions on possible current-induced degradation processes a new approach was followed. The strategy involves that the temperature of the pn-junction is kept constant for different DC operation currents. In particular, groups of nominally identical 310 nm UV LEDs were operated for 1000 h at different nominal current densities between 34 to 201 A∕cm2 (Fig. 1), measuring the optical power reduction throughout the experiment (Fig. 2). Different junction temperatures due to Joule heating at higher currents were prevented by adjusting the heatsink temperature for each current density.

Qualitatively, the experiment reveals that higher current densities strongly accelerate the optical power reduction during operation (Fig. 2). Moreover, a mathematical model was derived which enables to describe the degradation data at different current densities as well as to predict lifetime. Therefore it can be used for accelerated device testing. The model additionally leads to the main conclusion that the lifetime is inversely proportional to the cube of the current density. This relation can be clearly seen when the relative optical power is plotted versus the product of operation time and cube of current density (Fig. 3). Then, the curve progressions are nearly identical, leading to the conclusion that degradation originates from the same process. Its rate is, depending on current density, higher or lower. Similar results were obtained for 265 nm LEDs, indicating that this degradation process may be generally relevant for UV LEDs.

The fact that device lifetime strongly depends on the current density implies that the injected charge carriers play an important role in the degradation process. If one assumes that the carrier density being responsible for degradation, is proportional to the current density, then a three-particle process scaling with the cube of carrier density could be the decisive process [1]. Additionally, already observed degradation effects like the migration of hydrogen require the transfer of energy greater than 1 eV, which is considerably higher than the available thermal energy in the device [2]. For both considerations the Auger recombination process is a reasonable explanation. Transferred to the mathematical model, the product of operation time and cubic current density can be interpreted as a number of Auger recombination events leading to a particular reduction in optical power (Fig. 3). Consequently, adjusting the carrier distribution in the device, e.g., by increasing the number of QWs or of the active area, might be a promising approach to improve lifetime.

This research was funded by the Bundesministerium für Bildung und Forschung (BMBF) (Advanced UV for Life, 03ZZ0130A); Deutsche Forschungsgemeinschaft (DFG) (CRC787).

Reference

J. Ruschel, J. Glaab, B. Beidoun, N. Lobo Ploch, J. Rass, T. Kolbe, A. Knauer, M. Weyers, S. Einfeldt, and M. Kneissl, „Current-induced degradation and lifetime prediction of 310 nm ultraviolet light-emitting diodes“, Photonics Res., vol. 7, no. 7, pp. B36-B40 (2019).

[2] J. Glaab, J. Ruschel, T. Kolbe, A. Knauer, J. Rass, h. K. Cho, N. Lobo Ploch, S. Kreutzmann, S. Einfeldt, M. Weyers, M. Kneissl, „Degradation of (In)AlGaN-based UVB LEDs and migration of hydrogen”, IEEE Photonics Technology Letters, vol. 31, no. 7 (2019).