Laterale GaN-Transistoren & Halbbrücken
GaN-basierte lateral aufgebaute Transistoren, sogenannte AlGaN/GaN-HEMTs, nutzen das zweidimensionale Elektronengas (2DEG) als Transistorkanal und ermöglichen effiziente Leistungskonverter mit besonders hoher Leistungsdichte. Wegen des geringen flächenspezifischen Einschaltwiderstands (bei gegebener Sperrspannung) und der geringen, für das Schalten nötigen Gateladung lassen sich mit ihnen sehr hohe Konverter-Schaltfrequenzen erreichen. Dies ermöglicht besonders kompakte Leistungskonverter. Mit dem lateralen Bauelementdesign lassen sich leistungselektronische Funktionalitäten einfach monolithisch auf einem Chip integrieren.

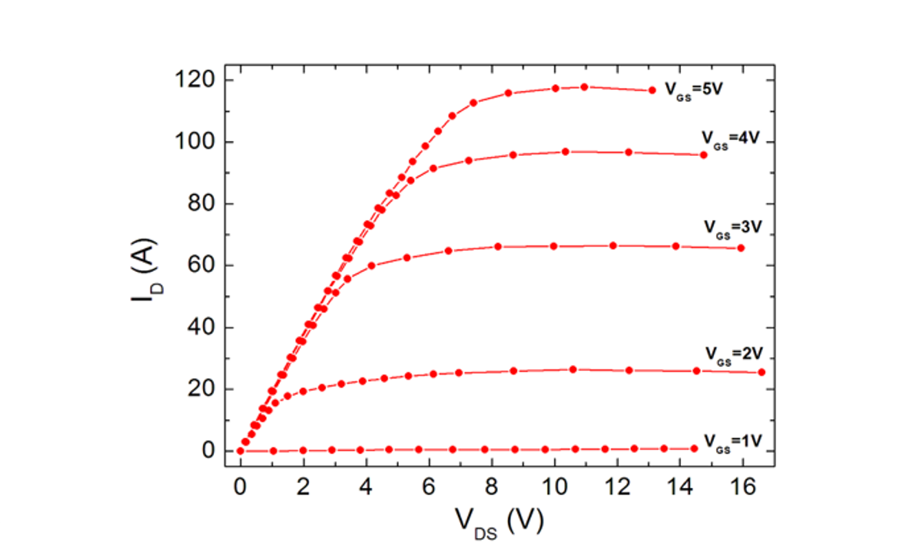
Selbstsperrende 600 V GaN-Transistoren mit p-GaN-Gate
Für selbstsperrende laterale GaN-Transistoren bis 650 V Sperrspannung haben wir eine eigene Prozesstechnologie auf 4 Zoll GaN-auf-SiC oder GaN-auf-Si Epi-Wafern entwickelt.
Unser p-GaN Gatemodul überführt dabei den ursprünglich selbstleitenden GaN-Transistor mit einer negativen Einsatzspannung in einen intrinsisch selbstsperrenden Transistor mit einer positiven Einsatzspannung. Selbstsperrendes Verhalten ist bei leistungselektronischen Anwendungen zwecks Systemsicherheit unabdingbar.
Unsere 600 V Schalttransistoren können bei 60 mOhm Einschaltwiderstand einen maximalen Pulsstrom von über 100 Ampere liefern und eignen sich für den Konverterbetrieb im Kilowattbereich. Die Transistorkapazitäten und insbesondere die Gateladung sind deutlich kleiner als für entsprechende Silizium-basierte Bauelemente. Die Schalttransienten beim Doppelpulstest mit induktiver Last zeigen für hartes Schalten hohe Strom- und Spannungssteilheiten und ermöglichen so besonders kurze Schaltzeiten mit geringen Schaltverlusten.
Monolithisch integrierte GaN-Halbbrücken
Monolithisch integrierter 170 mOhm/600 V GaN-Halbbrückenchip in einem niederinduktiven Konverteraufbau
Monolithisch integrierte GaN-Halbbrücken realisieren wir auf Basis der Technologie der selbstsperrenden p-GaN Gate-Transistoren.
Da Source-, Gate- und Drain-Anschlüsse auf der Chipoberfläche in GaN-Technologie verfügbar sind, lassen sich High-Side- und Low-Side-Leistungsschalter eines Halbbrückenmoduls auf einem Chip integrieren. Dies ermöglicht besonders kleine Kommutationsschleifen des Leistungskreises einer Konverterschaltung. So lassen sich die Vorteile der Schaltgeschwindigkeit von GaN-Transistoren für besonders kompakte Leistungskonverter mit hohen Taktfrequenzen nutzen. Eine zusätzliche Integrationsmöglichkeit bieten die hybrid integrierten GaN-Leistungskerne.
Für die monolithische Integration einer 600 V/170 mOhm Halbbrücke hat das FBH die beiden Leistungsschalter bereits auf der Ebene der einzelnen Transistorfinger miteinander verschränkt. Dies minimiert die Kommutationsschleife weiter. Anders als diskret aufgebaute Halbbrücken bieten sie schnelleren Einschalt- und Ausschalttransienten mit geringeren Schwingungen beim 300 V/6 A Schaltbetrieb.
Bidirektionale 600 V GaN-Transistoren
Rasterelektronenmikroskopische Aufnahme einer bidirektionalen Transistorstruktur mit Source-, Gate- und Drain-Metallisierungen
Für leistungselektronische Umrichter, in die Wechselstrom eingespeist wird, gibt es sehr effiziente Konvertertopologien ohne DC-Zwischenkreis. Dafür werden bidirektionale Transistoren als Schalter benötigt, die den Strom in beide Richtungen leiten und sperren müssen – wie etwa Konzepte des T-Typ- und des Matrix-Umrichters. Bei Spannungen über 200 V sind in silizumbasierter Bauelementtechnologie nur vertikale Bauelemente mit einem komplexen Aufbau möglich.
Mit lateral aufgebauten, unipolaren 600 V GaN-Transistoren hingegen lässt sich die bidirektionale Funktionalität einfach realisieren, indem in der Driftstrecke ein zweites Gate integriert wird. Die Driftstrecke zwischen den Gates wird dann in beiden Betriebsrichtungen genutzt. Dies erhöht den Einschaltwiderstand nur minimal gegenüber der unidirektionalen Variante.
Am FBH prozessieren wir uni- und bidirektionale Transistorvarianten zusammen auf einem Wafer. Bei gleicher Gateweite und gleichem Source-Drain-Abstand ist die Sperrspannung identisch und der Einschaltwiderstand der bidirektionalen Variante ist nur um etwa 10% größer als für die unidirektionale Variante. Das Schaltverhalten der bidirektionalen Transistoren ist in beide Betriebsrichtungen gleich.