Selbstsperrende GaN-Hochspannungstransistoren mit kohlenstoffdotiertem GaN-Puffer

FBH-Forschung: 11.04.2011

Abb. 1: Prozessierter 3" Wafer mit mehr als 200 selbstsperrenden p-GaN-Gate 45 A / 600 V GaN-Leistungstransistoren.

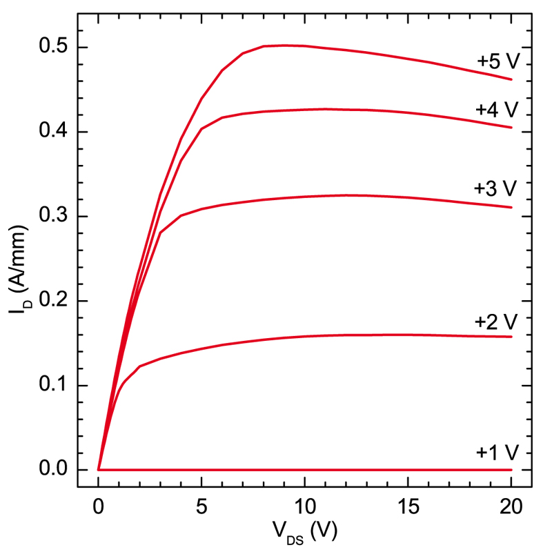
Abb. 2: Ausgangskennlinienfeld von 1000 V p-GaN-Gate-Transistoren für Gatespannungen von 1 - 5 V. Der Gate-Drain-Abstand beträgt 6 µm, die Gateweite 0,25 mm.

Abb. 3: Einschaltwiderstand über Durchbruchspannung bei unterschiedlichen Gate-Drainabständen (Farbe) für den früheren AlGaN-Puffer und den neuen GaN:C-Puffer. 1000 V war die obere Spannungsmessgrenze.

Selbstsperrende AlGaN/GaN-HEMTs sind wegen der Kombination aus niedrigem Einschaltwiderstand und hoher Durchbruchsspannung ideale Schalttransistoren für  Leistungsumrichter. Die am FBH entwickelte p-GaN-Gate-Technologie für selbstsperrende GaN-Transistoren verbindet niedrige Leckströme im ausgeschalteten mit geringen Leitungswiderständen im eingeschalteten Zustand.

Für bis in den kV-Bereich sperrende GaN-Hochspannungstransistoren wurde am FBH parallel eine spezielle kohlenstoffdotierte GaN-Pufferschicht entwickelt, die ein Ausbrechen der Elektronen aus dem Transistorkanal auch bei sehr hohen Drainspannungen verhindert. Inzwischen wurden beide Technologien in einem Bauelement kombiniert und der bisherige AlGaN-Puffer der p-GaN-Gate-Transistoren durch den kohlenstoffdotierten GaN-Puffer ersetzt. Dies ermöglicht die Realisierung von selbstsperrenden GaN-Hochspannungstransistoren mit 1000 V Spannungsfestigkeit und 1,1 V Einschaltspannung. Gegenüber der Technologie mit AlGaN-Puffer hat sich dabei die Durchbruchfestigkeit von 50 V/µm Gate-Drainabstand auf 170 V/µm mehr als verdreifacht, ohne den Einschaltwiderstand RON zu erhöhent. Das Verhältnis aus Durchbruchfestigkeit zu Einschaltwiderstand ist höher als bei Si-basierten Transistoren und gehört zu den weltweit besten Werten für selbstsperrende GaN-Transistoren.

Publikationen:

E. Bahat-Treidel, F. Brunner, O. Hilt, E. Cho, J. Würfl, G. Tränkle, "AlGaN/GaN/GaN:C back-barrier HFETs with breakdown voltage of over 1 kV and low RON×A", IEEE Transactions on Electron Devices, Vol. 57, no. 6, pp. 3050-3058 (2010).

O. Hilt, A. Knauer, F. Brunner, E. Bahat-Treidel, J. Würfl, "Normally-off AlGaN/GaN HFET with p-type GaN Gate and AlGaN Buffer", Proceedings of the 22nd International Symposium on Power Semiconductor Devices (ISPSD), Hiroshima, pp 347-350 (2010).

FBH-Forschung: 11.04.2011