Closing the wavelength gap of laser diodes around 700 nm, suited for quantum technology applications

FBH research: 05.12.2022

Fig 1: Contour plot showing the calculated transition wavelengths for the DHS bulk layer configuration. The open symbols denote the intersection points between transition wavelength and lattice mismatch for each individual sample. Inset: Measured PL spectra used to deduce the transition wavelength for each sample. A broad and unexpectedly long emission for B3 and a broadened emission for B4 are clearly visible.

Fig 2: Contour plot showing the calculated transition wavelengths for 7 nm thick GaxIn1−xAsyP1−y quantum wells. Symbols represent the intersection points between transition wavelength and lattice mismatch curves for each individual sample. Inset: Measured EL spectra used to deduce the transition wavelength for each sample.

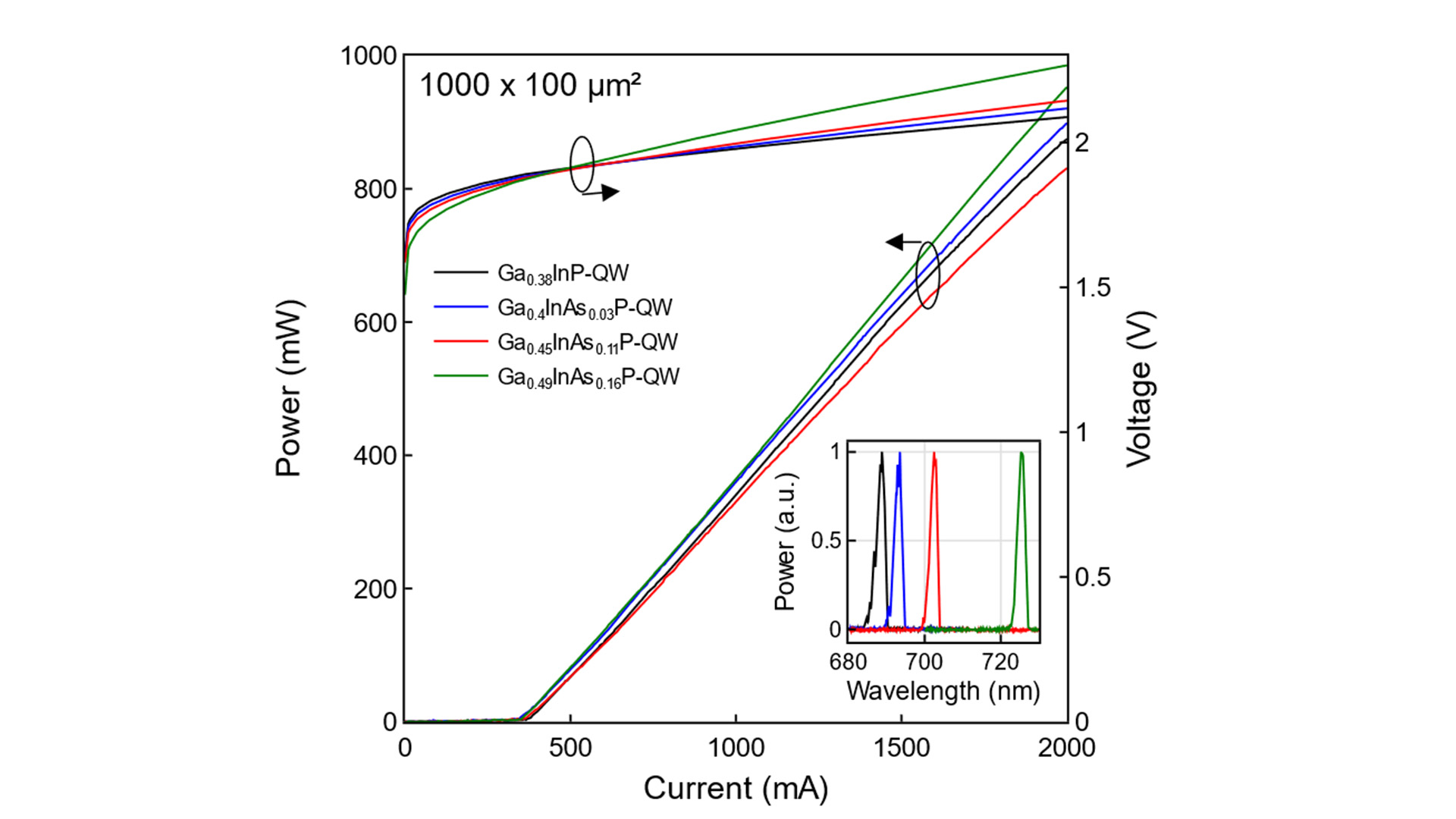
Fig 3: LIV characteristics of lasers different Ga and As mol fractions in the GaxIn1xAsyP1y

Fig 4: AFM (atomic force microscopy) image showing a smooth GaInAsP double heterostructure surface taken across a 2x2 µm² area with an RMS roughness of 0.2 nm.

FBH has demonstrated laser diodes from 630 nm - 1180 nm with state-of-the-art performance. Only the wavelength range between 690 nm and 730 nm could not be covered in the past. However, upcoming applications in atomic clocks and quantum technology require laser diodes emitting, for example, at 698 nm or 707 nm. The lattice mismatch of well-established ternary compounds GaInP (below 690 nm) and GaAsP (above 730 nm) is too big to be used around 700 nm. The quaternary GaInAsP obtained by mixing those two ternary materials suffers from a miscibility gap. This leads to an inhomogeneous composition and broad emission peaks and even emission only from GaAs-like islands surrounded by material with a higher band gap (Fig. 1).

By optimizing the growth process this inhomogeneity can be avoided for thin layers like the quantum wells in which the emission of a laser diode is generated. Fig. 2 shows the contour plot of the calculated emission wavelength from 7 nm thick GaInAsP QWs together with the measured emission from such QWs against the Ga and As mol fractions. The spectra in the inset exhibit a similar linewidth over the whole range from 670 - 760 nm. Laser diodes with quaternary GaInAsP QWs show power-current characteristics matching those of a ternary GaInP QW emitting around 685 nm (Fig. 3). First lifetime tests prove the suitability of GaInAsP QWs also for reliable operation over long time.

Thus, FBH now can offer laser diodes over the whole wavelength range from 630 nm to 1180 nm. This new capability has already been exploited to realize wavelength-stabilized DBR laser diodes between 696 and 712 nm for application in quantum technology [1].

Publications

[1] H. Wenzel, B. Arar, A. Maaßdorf, J. Fricke, D. Martin, C. Zink, M. Schiemangk, A. Wicht, M. Weyers, A. Knigge, “Distributed Bragg reflector lasers emitting between 696 and 712 nm”, Electronics Letters (early view 10.10.2022), doi: 10.1049/ell2.12645